| 業務中心: | 0371-55696552 18037153049 |
您的當前位置:魯班培訓-一建培訓,二建培訓,監理,注冊安全工程師等 > 復習備考 > 備考指南 >
二級建造師每日一練(11.5)
B、施工總進度規劃
C、施工總進度大綱
D、控制性施工進度計劃
向下滑動查看參考答案
↓
↓↓
↓↓↓↓
答案:D
解析:實施性施工進度計劃的編制應結合工程施工的具體條件,并以控制性施工進度計劃所確定的里程碑事件的進度目標為依據。
B、兩個不同系統,但緊密相關
C、同一個層次上兩種不同系統
D、兩個不同系統,毫不相關
向下滑動查看參考答案
↓
↓↓
↓↓↓↓
答案:B
解析:施工企業的施工生產計劃與建設工程項目施工進度計劃雖屬兩個不同系統的計劃,但是,兩者是緊密相關的。前者針對整個企業,而后者則針對一個具體工程項目。故選答案B。

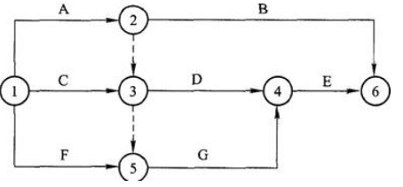
B、工作A和工作B
C、工作B和工作E
D、工作C和工作D
E、工作C和工作F
向下滑動查看參考答案
↓
↓↓
↓↓↓↓
答案:AE
解析:在雙代號網絡圖中,通常將被研究的工作用i-j工作表示。緊排在本工作之前的工作稱為緊前工作。緊排在本工作之后的工作稱為緊后工作。與之平行進行的工作稱為平行工作。
B、如果唐某從事的是臨時工作,甲施工單位可以不簽訂勞動合同
C、甲施工單位不得安排唐某從事有毒有害的勞動
D、甲施工單位可以安排唐某從事有毒有害的勞動,但必須保證安全
向下滑動查看參考答案
↓
↓↓
↓↓↓↓
答案:C
解析:本題考查的是勞動安全衛生制度。未成年工的特殊保護是針對未成年工處于生長發育期的特點,以及接受義務教育的需要,采取的特殊勞動保護措施。未成年工是指年滿16周歲未滿18周歲的勞動者。《勞動法》規定,禁止用人單位招用未滿16周歲的未成年人。不得安排未成年工從事礦山井下、有毒有害、國家規定的第4級體力勞動強度的勞動和其他禁忌從事的勞動。用人單位應對未成年工定期進行健康檢查。
B、10
C、15
D、30
向下滑動查看參考答案
↓
↓↓
↓↓↓↓
答案:D
解析:本題考查的是勞動合同的解除和終止。勞動者提前30日以書面形式通知用人單位,可以解除勞動合同。勞動者在試用期內提前3日通知用人單位,可以解除勞動合同。
B、200
C、300
D、500
向下滑動查看參考答案
↓
↓↓
↓↓↓↓
答案:B
解析:本題考查的是勞務派遣。勞務派遣單位的注冊資本不得少于人民幣200萬元。
某項目合同價1000萬,預付比例為20%,主要材料所占比例為40%。各月完成工程量情況如下表,不考慮其它任何扣款,下列相關分析不正確的是( )。

B、起扣點=1000-200/40%=500萬
C、預付款從第3個月開始扣回
D、第3個月應扣回預付款為120萬元
向下滑動查看參考答案
↓
↓↓
↓↓↓↓
答案:D
解析:
本題考查的是預付款及起扣點的計算。按月支付的費用:
B、20
C、30
D、40
向下滑動查看參考答案
↓
↓↓
↓↓↓↓
答案:C
解析:本題考查的是預付款的計算。工程預付款的比例不宜高于合同價款(不含其他項目費)的30%。故C正確。
B、優化最佳施工成本
C、資源有限、工期最短調整
D、工期固定、資源均衡調整
E、工期、成本調整
向下滑動查看參考答案
↓
↓↓
↓↓↓↓
答案:ACDE
解析:本題考查的是施工進度計劃的調整方式施工進度計劃的調整方式主要有單純調整工期,資源有限、工期最短調整,工期固定、資源均衡調整,工期、成本調整。故選A,C,D,E。
B、重要
C、主要
D、基本
向下滑動查看參考答案
↓
↓↓
↓↓↓↓
答案:A
解析:本題主要考查的是實名制管理。勞務實名制管理是勞務管理的一項基礎工作。
B、時間
C、階段
D、專業
向下滑動查看參考答案
↓
↓↓
↓↓↓↓
答案:B
解析:本題主要考查的是施工進度目標控制。總目標及其分解:
(1)總目標對工程項目的施工進度加以控制,并以實現施工合同約定的竣工日期為最終目標,總目標應按需要進行分解。
(2)按單位工程分解為交工分目標,制定子單位工程或分部工程交工目標。
(3)按承包的專業或施工階段分解為階段分目標,重大市政公用工程可按專業工程分解進度目標分別進行控制;也可按施工階段劃分確定控制目標。
(4)按年、季、月分解為時間分目標,適用于有形象進度要求時。
B、消防安全牌
C、文明施工牌
D、環境衛生責任牌
E、安全生產(無重大事故)牌
向下滑動查看參考答案
↓
↓↓
↓↓↓↓
答案:ABCE
解析:此題考查了五牌一圖的內容。五牌:工程概況牌、管理人員名單及監督電話牌、消防安全牌、安全生產(無重大事故)牌、文明施工牌;工程概況牌內容一般應寫明工程名稱、主要工程量、建設單匣、設計單位、施工單位、監理單位、開竣工日期、項目負責人(經理)以及聯系電話。
一圖:施工現場總平面圖。故答案選ABCE。
B、工程施工合同
C、主要施工工藝及施工方法
D、安全技術措施
向下滑動查看參考答案
↓
↓↓
↓↓↓↓
答案:B
解析:施工組織設計動態管理項目施工前,應進行施工組織設計逐級交底,交底內容包括:工程特點、難點,主要施工工藝及施工方法,進度安排,組織機構設置與分工,質量、安全技術措施,環境保護要求等。
某安裝公司承包一演藝中心的空調工程,演藝中心地處江邊(距離江邊100m),空調工程設備材料:雙工況冷水機組(650Rt)、蓄冰槽、江水源熱泵機組、燃氣鍋爐、低噪聲冷卻塔(650t/h)、板式熱交換機、水泵、空調箱、風機盤管、各類閥門(DN20~DN700)公稱壓力1.6MPa、空調水管(DN20~DN7 00)、風管、風閥及配件(卡箍、法蘭)等由安裝公司訂立采購合同。
安裝公司進場后,針對工程中采用的新設備、新技術編制了施工方案,方案中突出了施工程序和施工方法,并明確了施工方法的內容,江水熱源泵機組復用江水冷卻,需敷設DN700冷卻水管至江邊,DN700冷卻水管道的敷設路徑上正好有一排千年古樹,方案中選擇非開挖頂管技術,并分包給A專業公司施工,空調水管需化學清洗并鍍膜,分包給B專業公司施工。安裝公司向專業公司提供了相關資料,負責現場的管理工作,確保專業公司按批準的施工方案進行施工。
按施工進度計劃,安裝公司及時與供貨廠商聯系,使設備材料運到現場時間與施工進度配合,以滿足施工進度要求。設備材料達到施工現場,按規定對設備材料進行檢驗,其中對閥門重點檢驗,空調工程按施工程序實施,空調設備安裝后,進行管道、風管及配件安裝調試,空調工程按要求完工。
(2)本工程要編制哪幾個新技術的施工方案?方案中的施工方法應有哪些主要內容?
(3)空調供回水管主要需與哪些設備連接?DN100以上空調水管與設備可采用哪種連接方式?
向下滑動查看參考答案
↓
↓↓
↓↓↓↓
答案:
解析:1.A、B專業公司進場后,應向安裝公司提交分包工程的施工組織設計、施工技術方案、質量保證體系和質量保證措施、安全保證體系及措施、施工進度計劃、施工進度統計報表、工程款支付申請、隱蔽工程驗收報告、竣工交驗報告等文件資料。
2.編制的新技術方案有:非開挖頂管施工技術方案,空調水管需化學清洗及鍍膜施工方案。施工方法的主要內容有:施工程序及順序,施工工藝,操作方法,要領,質量控制措施,安全技術措施。
3.空調供回水管主要需連接的設備是:雙工況冷水機組、江水源熱泵機組、板式熱交換機、泵、蓄冰槽。DN100以上空調水管與設備連接方式:直徑較大的管道采用法蘭連接。
某省轄市新建坑口電廠一期安裝工程,裝機容量為2×50MW的汽輪發電機組。采用直接空冷凝汽器。汽輪機為抽、凝兩用機,可供熱。鍋爐為循環流化床。煙氣采用電除塵和干式除灰系統進行處理。所有排放廢水經過廢水處理車間處理再循環使用。工程由A公司總承包,其中汽機島由B公司分包。A、B公司都具備施工資格。
鍋爐設備的主吊機械為DBQ1500塔吊。汽機間設備用75t行車吊裝。計劃工期為10個月。A公司精心策劃了施工組織總設計。建立了質量管理體系和安全管理體系。制定了各專業的施工方案。煙氣電除塵和干式除灰系統處理,采用了新產品、新材料、新技術、新工藝。
2.進行施工方案交底工作如何進行?
3.簡述汽輪機本體有哪幾部分組成?
4.該項目哪些工程安裝屬于特種設備?安裝需要什么資格?
向下滑動查看參考答案
↓
↓↓
↓↓↓↓
答案:
解析:1.A公司應做整個工程施工組織總設計。B公司可做其分包工程的施工組織設計。B公司的施工組織設計應以電廠整體工程的施工組織總設計為編制依據。
2.根據本工程的情況,進行施工方案交底的工作是:
(1)工程施工前,施工方案的編制人員應向施工作業人員作施工方案的技術交底;
(2)除分項、專項工程的施工方案需進行技術交底外,新產品、新材料、新技術、新工藝即“四新”項目以及特殊環境、特種作業等也必須向施工作業人員交底;
(3)交底內容為該工程的施工程序和順序、施工工藝、操作方法、要領、質量控制、安全措施等。
3.汽輪機主要有轉動部分、靜止部分組成。
4.鍋爐、壓力管道、起重設備屬于特種設備。鍋爐安裝單位必須經安裝所在地的省級特種設備安全監督管理部門批準,取得安裝資格。壓力管道,起重設備必須經安裝所在地的特種設備安全監督管理部門批準,取得安裝資格。
B、二
C、三
D、四
向下滑動查看參考答案
↓
↓↓
↓↓↓↓
答案:C
解析:本題考查的是病險水庫除險加固建設管理。實際抗御洪水標準低于水利部頒布的水利樞紐工程除險加固近期非常運用洪水標準,或者工程存在較嚴重安全隱患,不能按設計正常運行的大壩可鑒定為三類壩。
B、投資說明
C、詳細說明
D、初步說明
向下滑動查看參考答案
↓
↓↓
↓↓↓↓
答案:D
解析:本題考查的是水利工程建設項目的類型和建設階段劃分。項目建議書應根據國民經濟和社會發展規劃、流域綜合規劃、區域綜合規劃、專業規劃,按照國家產業政策和國家有關投資建設方針進行編制,是對擬進行建設項目提出的初步說明。
B、效果
C、影響
D、可持續性
E、必要性
向下滑動查看參考答案
↓
↓↓
↓↓↓↓
答案:ABCD
解析:本題考查的是政府和社會資本合作(PPP模式)。水利PPP項目移交完成后,政府有關主管部門可組織對項目開展后評價,對項目全生命周期的效率、效果、影響和可持續性等進行評價。
B、有節拍流水
C、異節拍流水
D、等節拍流水
向下滑動查看參考答案
↓
↓↓
↓↓↓↓
答案:C
解析:按節拍的流水施工分類:(1)有節拍(有節奏)流水:
①全等節拍(等節奏)流水,所有的流水節拍相同且流水步距=流水節拍,是理想的流水施工。
②異節拍(異節奏)流水,可進一步分為成倍流水(等步距異節拍)和分別流水(異步距異節拍)。
(2)無節拍(無節奏)流水:流水節拍一般不相同,用累加數列錯位相減取大差的方法求流水步距。
B、氣象條件
C、水文條件
D、工程部位
E、資源供應情況
向下滑動查看參考答案
↓
↓↓
↓↓↓↓
答案:ABCE
解析:施工條件:地形地貌、氣象、水文和地質等自然條件;資源供應情況、交通運輸及水電等施工現場條件和技術經濟條件。
B、合同特殊要求
C、工程施工的特點
D、施工方案
E、工程施工的難點分析
向下滑動查看參考答案
↓
↓↓
↓↓↓↓
答案:ABCE
解析:工程概況。主要包括以下內容:(1)工程項目的主要情況:工程性質、工程位置、工程規模、結構形式、技術標準、總工期、主要工程數量等。
(2)施工條件:地形地貌、氣象、水文和地質等自然條件:資源供應情況、交通運輸及水電等施工現場條件和技術經濟條件。
(3)工程施工的特點和難點分析。
(4)合同特殊要求:如業主提供結構材料、指定分包商等。
- 上一篇:二級建造師每日一練(11.4)
- 下一篇:二級建造師每日一練(11.6)
鄭州




